收藏本站
首页
公司概况
公司简介
公司规模
公司荣誉
产品中心
新闻动态
企业资讯
行业报道
医药知识
商务招商
联系我们
人才招聘
安博(中国)
新闻动态
企业资讯
行业报道
医药知识
当前位置:
首页
>
企业资讯
>
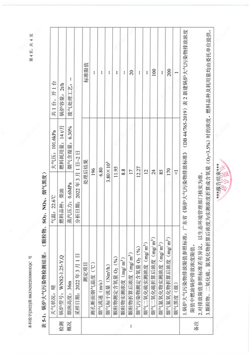
2022年3月废气检测
2022年3月废气检测
发布时间:2022-04-29 10:33:53 点击数:
上一篇:
2022年2月废气检测
下一篇:
2022年3月废水检测
官方微信扫一扫
安博手机版app
|
米兰官方网站_米兰milan(中国)
|
星空平台
|
星空平台入口_星空(中国)
|
开云电子
|
开云官方网页版
|
星空平台
|
安博站官网登录入口_安博(中国)
|
安博app登录入口_安博anbo(中国)
|